题目内容
幂函数
的图像经过点
,则
的值为 .
【答案】
2
【解析】
试题分析:本题要求出幂函数
的表达式,才能求出函数值,形如
的函数叫幂函数,故
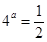
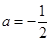
,
,因此
.
考点:幂函数的定义.
练习册系列答案
相关题目
题目内容
幂函数
的图像经过点
,则
的值为 .
2
【解析】
试题分析:本题要求出幂函数
的表达式,才能求出函数值,形如
的函数叫幂函数,故
,
,因此
.
考点:幂函数的定义.