题目内容
等比数列{an}的前n项和为A.-3
B.3
C.-1
D.1
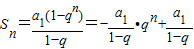
【答案】分析:由于等比数列的前n项和是
,得到若
,则a=3.
解答:解:由于等比数列{an}的前n项和为
,
则数列的公比不为1,
且
=3n+1-a=3•3n-a,
所以a=3.
故选 B.
点评:本题主要考查了等比数列的求和公式.属基础题.
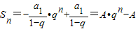
解答:解:由于等比数列{an}的前n项和为
则数列的公比不为1,
且
所以a=3.
故选 B.
点评:本题主要考查了等比数列的求和公式.属基础题.
练习册系列答案
相关题目