题目内容
已知点G是△ABC的重心,
( λ,μ∈R),若∠A=120°,
,则
的最小值是( )
|
| A. |
| B. |
| C. |
| D. |
|
考点:
平面向量的综合题.
专题:
计算题.
分析:
由三角形重心的性质可得,
,设
,由向量数量积的定义可知
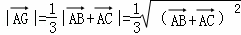
,可得xy=4,然后根据向量数量积的性质可得|
=
,结合基本不等式可求
解答:
解:由向量加法的三角形法则及三角形重心的性质可得,![]()
∵∠A=120°,
,则根据向量的数量积的定义可得,![]()
设![]()
∴
即xy=4
=
=![]()
x2+y2≥2xy=8(当且仅当x=y取等号)
∴
即
的最小值为![]()
故选:C
![]()
点评:
此题是一道平面向量与基本不等式结合的试题,解题的关键是利用平面向量的数量积的性质把所求的问题转化为
=
=
,还利用了基本不等式求解最值.
练习册系列答案
相关题目
已知点G是△ABC的重心,点P是△GBC内一点,若
=λ
+μ
,则λ+μ的取值范围是( )
| AP |
| AB |
| AC |
A、(
| ||
B、(
| ||
C、(1,
| ||
| D、(1,2) |