题目内容

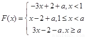
已知函数

(1)若,解不等式

(2)若,求实数的取值范围.

 

【答案】

(1);(2).

【解析】

试题分析:本题考查绝对值不等式的解法和不等式的恒成立问题,考查学生的分类讨论思想和转化能力.第一问,利用零点分段法进行求解;第二问,利用函数的单调性求出最小值证明恒成立问题.

试题解析:(1)当时,,而

解得.         5分

(2)令,则

所以当时,有最小值

只需,解得,所以实数的取值范围为.          10分

考点:1.绝对值不等式的解法;2.恒成立问题;3.分段函数的最值.

 

练习册系列答案
相关题目

违法和不良信息举报电话:027-86699610 举报邮箱:58377363@163.com

精英家教网