题目内容
已知a∈R,函数f(x)=2x3-3(a+1)x2+6ax(Ⅰ)若a=1,求曲线y=f(x)在点(2,f(2))处的切线方程;
(Ⅱ)若|a|>1,求f(x)在闭区间[0,|2a|]上的最小值.
【答案】分析:(Ⅰ)求导函数,确定切线的斜率,求出切点的坐标,即可求曲线y=f(x)在点(2,f(2))处的切线方程;
(Ⅱ)分类讨论,利用导数确定函数的单调性,从而可得极值,即可得到最值.
解答:解:(Ⅰ)当a=1时,f′(x)=6x2-12x+6,所以f′(2)=6
∵f(2)=4,∴曲线y=f(x)在点(2,f(2))处的切线方程为y=6x-8;
(Ⅱ)记g(a)为f(x)在闭区间[0,|2a|]上的最小值.
f′(x)=6x2-6(a+1)x+6a=6(x-1)(x-a)
令f′(x)=0,得到x1=1,x2=a
当a>1时,
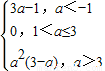
比较f(0)=0和f(a)=a2(3-a)的大小可得g(a)=
;
当a<-1时,
∴g(a)=3a-1
∴f(x)在闭区间[0,|2a|]上的最小值为g(a)=
.
点评:本题考查导数知识的运用,考查导数的几何意义,考查函数的最值,考查学生的计算能力,考查分类讨论的数学思想,属于中档题.
(Ⅱ)分类讨论,利用导数确定函数的单调性,从而可得极值,即可得到最值.
解答:解:(Ⅰ)当a=1时,f′(x)=6x2-12x+6,所以f′(2)=6
∵f(2)=4,∴曲线y=f(x)在点(2,f(2))处的切线方程为y=6x-8;
(Ⅱ)记g(a)为f(x)在闭区间[0,|2a|]上的最小值.
f′(x)=6x2-6(a+1)x+6a=6(x-1)(x-a)
令f′(x)=0,得到x1=1,x2=a
当a>1时,
| x | (0,1) | 1 | (1,a) | a | (a,2a) | 2a | |
| f′(x) | + | - | + | ||||
| f(x) | 单调递增 | 极大值3a-1 | 单调递减 | 极小值 a2(3-a) | 单调递增 | 4a3 |
当a<-1时,
| X | (0,1) | 1 | (1,-2a) | -2a | |
| f′x) | - | + | |||
| f(x) | 单调递减 | 极小值3a-1 | 单调递增 | -28a3-24a2 |
∴f(x)在闭区间[0,|2a|]上的最小值为g(a)=
点评:本题考查导数知识的运用,考查导数的几何意义,考查函数的最值,考查学生的计算能力,考查分类讨论的数学思想,属于中档题.
练习册系列答案
相关题目