题目内容
(Ⅰ)求证:BD⊥FG;
(Ⅱ)确定点G在线段AC上的位置,使FG∥平面PBD,并说明理由;
(Ⅲ)当二面角B-PC-D的大小为
【答案】分析:(Ⅰ)要证:BD⊥FG,先证BD⊥平面PAC即可.
(Ⅱ)确定点G在线段AC上的位置,使FG∥平面PBD,FG∥平面PBD内的一条直线即可.
(Ⅲ)当二面角B-PC-D的大小为
时,求PC与底面ABCD所成角的正切值.
只要作出二面角的平面角,解三角形即可求出结果.
这三个问题可以利用空间直角坐标系,解答(Ⅰ)求数量积即可.
(Ⅱ)设才点的坐标,向量共线即可解答.
(Ⅲ)利用向量数量积求解法向量,然后转化求出PC与底面ABCD所成角的正切值.
解答:证明:(Ⅰ)∵PA⊥面ABCD,四边形ABCD是正方形,其对角线BD,AC交于点E,
∴PA⊥BD,AC⊥BD,
∴BD⊥平面PAC,
∵FG?平面PAC,
∴BD⊥FG(5分)
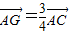
解(Ⅱ):当G为EC中点,即AG=
AC时,FG∥平面PBD,(7分)
理由如下:
连接PE,由F为PC中点,G为EC中点,知FG∥PE,
而FGË平面PBD,PE?平面PBD,
故FG∥平面PBD.(9分)
解(Ⅲ):作BH^PC于H,连接DH,
∵PA⊥面ABCD,四边形ABCD是正方形,
∴PB=PD,
又∵BC=DC,PC=PC,
∴△PCB≌△PCD,
∴DH⊥PC,且DH=BH,
∴ÐBHD就是二面角B-PC-D的平面角,(11分)
即ÐBHD=
,
∵PA⊥面ABCD,∴ÐPCA就是PC与底面ABCD所成的角(12分)
连接EH,则EH⊥BD,ÐBHE=
,EH⊥PC,
∴tanÐBHE=
,而BE=EC,
∴
,∴sinÐPCA=
,∴tanÐPCA=
,
∴PC与底面ABCD所成角的正切值是
(14分)
或用向量方法:
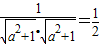
解:以A为原点,AB,AD,AP所在的直线分别为x,y,z轴建立空间直角坐标系如图所示,设正方形ABCD的边长为1,则A(0,0,0),B(1,0,0),C(1,1,0),D(0,1,0),P(0,0,a)(a>0),E(
),F(
),G(m,m,0)(0<m<
)(2分)
(Ⅰ)
=(-1,1,0),
=(
),
×
=-m+
+m-
+0=0,
∴BD⊥FG(5分)
(Ⅱ)要使FG∥平面PBD,只需FG∥EP,而
=(
),由
=l
可得
,
解得l=1,m=
,(7分)
∴G(
,
,0),∴
,
故当AG=
AC时,FG∥平面PBD(9分)
(Ⅲ)设平面PBC的一个法向量为
=(x,y,z),
则
,而
,
,
∴
,取z=1,得
=(a,0,1),同理可得平面PDC的一个法向量为
=(0,a,1),
设
,
所成的角为q,则|cosq|=|cos
|=
,即
=
,∴
,∴a=1(12分)
∵PA⊥面ABCD,∴ÐPCA就是PC与底面ABCD所成的角,
∴tanÐPCA=
(14分)
点评:本题考查直线与平面、平面与平面的性质,空间直线的位置关系,空间直角坐标系,空间想象能力,逻辑思维能力,是难度较大题目.
(Ⅱ)确定点G在线段AC上的位置,使FG∥平面PBD,FG∥平面PBD内的一条直线即可.
(Ⅲ)当二面角B-PC-D的大小为
只要作出二面角的平面角,解三角形即可求出结果.
这三个问题可以利用空间直角坐标系,解答(Ⅰ)求数量积即可.
(Ⅱ)设才点的坐标,向量共线即可解答.
(Ⅲ)利用向量数量积求解法向量,然后转化求出PC与底面ABCD所成角的正切值.
解答:证明:(Ⅰ)∵PA⊥面ABCD,四边形ABCD是正方形,其对角线BD,AC交于点E,
∴PA⊥BD,AC⊥BD,
∴BD⊥平面PAC,
∵FG?平面PAC,
∴BD⊥FG(5分)
解(Ⅱ):当G为EC中点,即AG=
理由如下:
连接PE,由F为PC中点,G为EC中点,知FG∥PE,
而FGË平面PBD,PE?平面PBD,
故FG∥平面PBD.(9分)
∵PA⊥面ABCD,四边形ABCD是正方形,
∴PB=PD,
又∵BC=DC,PC=PC,
∴△PCB≌△PCD,
∴DH⊥PC,且DH=BH,
∴ÐBHD就是二面角B-PC-D的平面角,(11分)
即ÐBHD=
∵PA⊥面ABCD,∴ÐPCA就是PC与底面ABCD所成的角(12分)
连接EH,则EH⊥BD,ÐBHE=
∴tanÐBHE=
∴
∴PC与底面ABCD所成角的正切值是
或用向量方法:
解:以A为原点,AB,AD,AP所在的直线分别为x,y,z轴建立空间直角坐标系如图所示,设正方形ABCD的边长为1,则A(0,0,0),B(1,0,0),C(1,1,0),D(0,1,0),P(0,0,a)(a>0),E(
(Ⅰ)
∴BD⊥FG(5分)
(Ⅱ)要使FG∥平面PBD,只需FG∥EP,而
解得l=1,m=
∴G(
故当AG=
(Ⅲ)设平面PBC的一个法向量为
则
∴
设
∵PA⊥面ABCD,∴ÐPCA就是PC与底面ABCD所成的角,
∴tanÐPCA=
点评:本题考查直线与平面、平面与平面的性质,空间直线的位置关系,空间直角坐标系,空间想象能力,逻辑思维能力,是难度较大题目.
练习册系列答案
相关题目