题目内容
已知椭圆的中心在原点,焦点在x轴上,离心率为(Ⅰ)求椭圆的方程;
(Ⅱ)求m的取值范围;
(Ⅲ)若直线l不过点M,求证:直线MA、MB与x轴围成一个等腰三角形.
【答案】分析:(I)设出椭圆的标准方程,根据椭圆的离心率为
,得出a2=4b2,再根据M(4,1)在椭圆上,解方程组得b2=5,a2=20,从而得出椭圆的方程;
(II)因为直线l:y=x+m交椭圆于不同的两点A,B,可将直线方程与椭圆方程消去y得到关于x的方程,有两个不相等的实数根,从而△>0,解得-5<m<5;
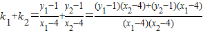
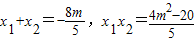
(III)设出A(x1,y1),B(x2,y2),对(II)的方程利用根与系数的关系得:
.再计算出直线MA的斜率k1=
,MB的斜率为k2=
,将式子K1+K2通分化简,最后可得其分子为0,从而得出k1+k2=0,得直线MA,MB的倾斜角互补,命题得证.
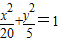
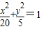
解答:解:(Ⅰ)设椭圆的方程为
,
∵椭圆的离心率为
,
∴a2=4b2,
又∵M(4,1),
∴
,解得b2=5,a2=20,故椭圆方程为
.…(4分)
(Ⅱ)将y=x+m代入
并整理得
5x2+8mx+4m2-20=0,
∵直线l:y=x+m交椭圆于不同的两点A,B
∴△=(8m)2-20(4m2-20)>0,解得-5<m<5.…(7分)
(Ⅲ)设直线MA,MB的斜率分别为k1和k2,只要证明k1+k2=0.
设A(x1,y1),B(x2,y2),
根据(Ⅱ)中的方程,利用根与系数的关系得:
.

上式的分子=(x1+m-1)(x2-4)+(x2+m-1)(x1-4)
=2x1x2+(m-5)(x1+x2)-8(m-1)
=
所以k1+k2=0,得直线MA,MB的倾斜角互补
∴直线MA、MB与x轴围成一个等腰三角形.…(12分)
点评:本题考查了直线与圆锥曲线的位置关系等知识点,属于难题.解题时注意设而不求和转化化归等常用思想的运用,本题的综合性较强对运算的要求很高.
(II)因为直线l:y=x+m交椭圆于不同的两点A,B,可将直线方程与椭圆方程消去y得到关于x的方程,有两个不相等的实数根,从而△>0,解得-5<m<5;
(III)设出A(x1,y1),B(x2,y2),对(II)的方程利用根与系数的关系得:
解答:解:(Ⅰ)设椭圆的方程为
∵椭圆的离心率为
∴a2=4b2,
又∵M(4,1),
∴
(Ⅱ)将y=x+m代入
5x2+8mx+4m2-20=0,
∵直线l:y=x+m交椭圆于不同的两点A,B
∴△=(8m)2-20(4m2-20)>0,解得-5<m<5.…(7分)
(Ⅲ)设直线MA,MB的斜率分别为k1和k2,只要证明k1+k2=0.
设A(x1,y1),B(x2,y2),
根据(Ⅱ)中的方程,利用根与系数的关系得:
上式的分子=(x1+m-1)(x2-4)+(x2+m-1)(x1-4)
=2x1x2+(m-5)(x1+x2)-8(m-1)
=
所以k1+k2=0,得直线MA,MB的倾斜角互补
∴直线MA、MB与x轴围成一个等腰三角形.…(12分)
点评:本题考查了直线与圆锥曲线的位置关系等知识点,属于难题.解题时注意设而不求和转化化归等常用思想的运用,本题的综合性较强对运算的要求很高.
练习册系列答案
相关题目