题目内容

已知抛物线.过点的直线两点.抛物线在点处的切线与在点处的切线交于点

(Ⅰ)若直线的斜率为1,求

(Ⅱ)求面积的最小值.

 

【答案】

(1);(2)最小值为2.

【解析】

试题分析:本题主要考查直线与抛物线的位置关系、三角形面积公式等基础知识,同时考查解析几何的基本思想方法和运算求解能力.第一问,由已知得出直线l的方程,与抛物线联立,得出两点的坐标,然后利用两点间距离公式求;第二问,由于直线l的斜率不知道,所以设出直线方程,设出点的坐标,联立直线与抛物线方程,得出两根之和,两根之积,设出在点处的切线方程,求出交点的坐标,利用点到直线的距离公式求出的高,再求,代入到三角形面积公式中,再把两根之和,两根之积代入得到关于的表达式,利用配方法求最值.

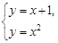
试题解析:(Ⅰ)由题意知,直线的方程为,由消去解得, 

所以.            6分

(Ⅱ)设直线l的方程为,设点

消去整理得

, 

又因为,所以,抛物线在点处的切线方程分别为

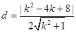
得两切线的交点.所以点到直线的距离为

又因为

的面积为,所以(当时取到等号).

所以面积的最小值为2.                                   14分

考点:1.直线与抛物线的位置关系;2.三角形面积公式;3.点到直线的距离公式;4.两点间距离公式.

 

练习册系列答案
相关题目

违法和不良信息举报电话:027-86699610 举报邮箱:58377363@163.com

精英家教网