题目内容
已知圆C:(x-2)2+(y-1)2=1.则过点A(3,4)的圆C的切线方程为 .
【答案】分析:由题意可得:圆的圆心与半径分别为:(2,1);1,再结合题意设直线为:kx-y-3k+4=0,进而由点到直线的距离等于半径即可得到k,求出切线方程.
解答:解:由圆的一般方程可得圆的圆心与半径分别为:(2,1);1,
当切线的斜率存在,设切线的斜率为k,则切线方程为:kx-y-3k+4=0,
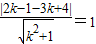
由点到直线的距离公式可得:
解得:k=
,
所以切线方程为:4x-3y=0;
当切线的斜率不存在时,直线为:x=3,
满足圆心(2,1)到直线x=3的距离为圆的半径1,
x=3也是切线方程;
故答案为:4x-3y=0或x=3.
点评:本题主要考查由圆的一般方程求圆的圆心与半径,以及点到直线的距离公式,容易疏忽斜率不存在的情况.
解答:解:由圆的一般方程可得圆的圆心与半径分别为:(2,1);1,
当切线的斜率存在,设切线的斜率为k,则切线方程为:kx-y-3k+4=0,
由点到直线的距离公式可得:
解得:k=
所以切线方程为:4x-3y=0;
当切线的斜率不存在时,直线为:x=3,
满足圆心(2,1)到直线x=3的距离为圆的半径1,
x=3也是切线方程;
故答案为:4x-3y=0或x=3.
点评:本题主要考查由圆的一般方程求圆的圆心与半径,以及点到直线的距离公式,容易疏忽斜率不存在的情况.
练习册系列答案
相关题目
已知圆C:(x-2)2+(y-1)2=25,过点M(-2,4)的圆C的切线l1与直线l2:ax+3y+2a=0平行,则l1与l2间的距离是( )
A、
| ||
B、
| ||
C、
| ||
D、
|