题目内容

过点的直线被圆所截得的弦长为,则直线的方程为_______(写直线方程的一般式).

 

【答案】

【解析】

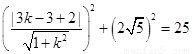
试题分析:设直线方程为,因为直线被圆所截得的弦长为,所以,解得,所以直线方程为.

考点:点到线的距离公式、直线和圆的位置关系、直线方程.

 

练习册系列答案
相关题目

违法和不良信息举报电话:027-86699610 举报邮箱:58377363@163.com

精英家教网