题目内容

过点的直线被圆所截得的弦长为10,则直线的方程为               .

 

【答案】

【解析】

试题分析:将圆的方程变为标准形式,得到圆的半径,这时,截得的弦长等于直径,则弦为直径,由直线的两点式方程求出直线的方程。

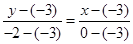
解:圆的方程化为,其圆心,半径。由于直线被圆所截得的弦长为10,则直线过圆心到。所以,直线的方程为,化为

考点:直线和圆的方程的应用;直线的一般式方程.

点评:解决直线与圆的问题,要充分利用圆的几何性质,数形结合加以解决.

 

练习册系列答案
相关题目

违法和不良信息举报电话:027-86699610 举报邮箱:58377363@163.com

精英家教网