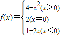
题目内容
已知函数(1)求f(a2+1)(a∈R),f(f(3))的值;
(2)当-4≤x<3时,求f(x)取值的集合.
【答案】分析:(1)已知分段函数解析式,注意a2+1>1,代入f(x)=4-x2,同理求出f(3),再把f(3)看为一个整体,再进行代入求解;
(2)当-4≤x<3时,把x=0作为分界点,利用分类讨论的思想进行求解;
解答:解:(1)函数
,
∵a2+1>0
∴f(a2+1)=4-(a2+1)2=-a4-2a2+3,
f(3)=4-32=-5,
∴f(f(3))=f(-5)=1-2×(-5)=11;
(2)当-4≤x<0时,f(x)为减函数,则
f(x)=4-x2∈[-12,4),
当x=0时,f(x)=2,
当0<x<3时,f(x)=1-2x∈[-5,1],
f(x)取值的集合为{x|-12≤x<4};
点评:此题主要考查分段函数的性质及其应用,解题的过程中用到了分类讨论的思想,是一道基础题;
(2)当-4≤x<3时,把x=0作为分界点,利用分类讨论的思想进行求解;
解答:解:(1)函数
∵a2+1>0
∴f(a2+1)=4-(a2+1)2=-a4-2a2+3,
f(3)=4-32=-5,
∴f(f(3))=f(-5)=1-2×(-5)=11;
(2)当-4≤x<0时,f(x)为减函数,则
f(x)=4-x2∈[-12,4),
当x=0时,f(x)=2,
当0<x<3时,f(x)=1-2x∈[-5,1],
f(x)取值的集合为{x|-12≤x<4};
点评:此题主要考查分段函数的性质及其应用,解题的过程中用到了分类讨论的思想,是一道基础题;
练习册系列答案
相关题目