题目内容

设f(x)=+xlnx,g(x)=x3-x2-3.
(1)a=2时,求曲线y=f(x)在x=1处得切线方程;
(2)若果存在x1,x2∈[0,2],使得g(x1)-g(x2)≥M成立,求满足上述条件的最大整数M;
(3)如果对任意的s,t∈[,2],都有f(s)≥g(t)成立,求实数a的取值范围。

解:(Ⅰ)当a=2时,,f(1)=2,
所以曲线y=f(x)在x=1处的切线方程为y=-x+3;
(Ⅱ)存在,使得成立,等价于:
考察

 

0

2

 

-

0

+

 

g(x)

-3

递减

极小值

递增

1

由上表可知:

所以满足条件的最大整数M=4;
(Ⅲ)解法一:对任意的s,t∈,都有f(s)≥g(t)成立,
等价于:在区间上,函数f(x)的最小值不小于g(x)的最大值,
由(2)知,在区间上,g(x)的最大值为g(2)=1。
f(1)=a≥1,下证当a≥1时,在区间上,函数f(x)≥1恒成立。
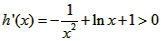
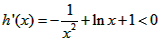
当a≥1且时,

;当

所以函数h(x)=在区间上递减,在区间(1,2]递增,
,即,所以当时,成立,
即对任意s,t,都有
解法二:当时,恒成立,
等价于恒成立,记
,由于
所以上递减,当时,
时,,即函数h(x)=在区间上递增,在区间上递减,
所以,所以a≥1。
练习册系列答案
相关题目