题目内容
在数列{an}中,a1=1,(Ⅰ)求{an}的通项公式;
(Ⅱ)令
(Ⅲ)求数列{an}的前n项和Tn.
【答案】分析:(Ⅰ)由题设条件得
,由此可知
.
(Ⅱ)由题设条件知
,
,再由错位相减得
,由此可知
.
(Ⅲ)由
得
.由此可知Tn=2Sn+2a1-2an+1=
.
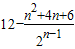
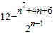
解答:解:(Ⅰ)由条件得
,又n=1时,
,
故数列
构成首项为1,公式为
的等比数列.从而
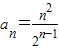
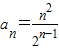
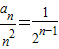
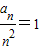
,即
.
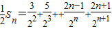
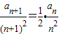
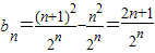
(Ⅱ)由
得
,
,
两式相减得:
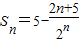
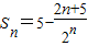
,所以
.
(Ⅲ)由
得
.
所以Tn=2Sn+2a1-2an+1=
.
点评:本题考查数列的综合运用,解题时要认真审题,仔细解答.
(Ⅱ)由题设条件知
(Ⅲ)由
解答:解:(Ⅰ)由条件得
故数列
(Ⅱ)由
两式相减得:
(Ⅲ)由
所以Tn=2Sn+2a1-2an+1=
点评:本题考查数列的综合运用,解题时要认真审题,仔细解答.
练习册系列答案
相关题目