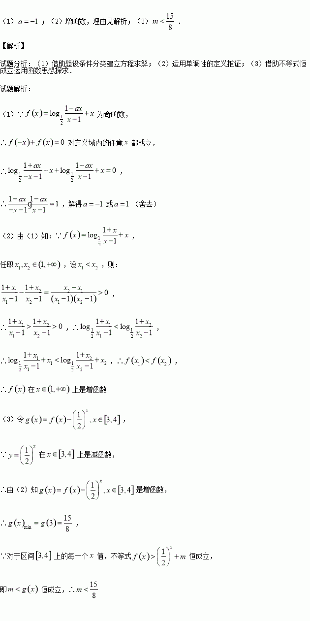
题目内容
设
为奇函数,
为常数.
(1)求
的值;
(2)判断函数
在
上的单调性,并说明理由;
(3)若对于区间
上的每一个
值,不等式
恒成立,求实数
的取值范围.
练习册系列答案
相关题目
9.为了考察中学生的性别与是否喜欢数学课程之间的关系,在某校中学生中随机抽取了50名学生,得到如下列联表:
你认为性别与是否喜欢数学课程之间有关系的把握有( )
| 喜欢数学 | 不喜欢数学 | 合计 | |
| 男 | 13 | 10 | 23 |
| 女 | 7 | 20 | 27 |
| 合计 | 20 | 30 | 50 |
| A. | 0 | B. | 95% | C. | 99% | D. | 100% |