题目内容

函数上的单增区间是                             (    )

A.                        B.

C.                       D.

 

【答案】

C

【解析】

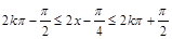
试题分析:令,解得求交集得C.

考点:三角函数的单调性.

 

练习册系列答案
相关题目

违法和不良信息举报电话:027-86699610 举报邮箱:58377363@163.com

精英家教网