题目内容
已知数列
是首项是2,公比为q的等比数列,其中
是
与
的等差中项.
(Ⅰ)求数列
的通项公式. (Ⅱ)求数列
的前n项和![]()
【答案】
(1)
![]()
(2)
![]()
【解析】
试题分析:(Ⅰ)利用
是
与
的等差中项,可求出q的值,在分类讨论即可; (Ⅱ)利用(Ⅰ)中求出的数列
的通项公式,利用等比数列的前n项和公式即可求出
.
试题解析:(1)∵
是
与
的等差中项 , ∴
,又数列
是首项是2,公比为q的等比数列,解得
,∴
或
.当
; 当
时,
.
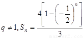
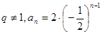
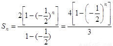
(2) 当
时,
;当
时,
.
考点:1.等差中项 ; 2.等比数列的通项公式; 3.等比数列的前n项和公式
练习册系列答案
相关题目
已知数列{an}共有m项,定义{an}的所有项和为S(1),第二项及以后所有项和为S(2),第三项及以后所有项和为S(3),…,第n项及以后所有项和为S(n).若S(n)是首项为2,公比为
的等比数列的前n项和,则当n<m时,an等于( )
| 1 |
| 2 |
A、-
| ||
B、
| ||
C、-
| ||
D、
|