题目内容

已知函数 的图象过点(0, ),最小正周期为 ,且最小值为-1.

(1)求函数的解析式.

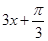
(2)若 ,的值域是 ,求m的取值范围.

 

【答案】

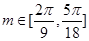
(1);(2) 

【解析】

试题分析:(1)根据余弦函数的性质求出最大值A,再利用周期公式求出参数,最后根据三角函数值求出的值即可.(2)由题意求出的取值范围,然后再根据余弦函数的性质求解即可.

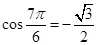
试题解析:(1)由函数的最小值为-1,可得A=1,因为最小正周期为 ,所以 =3.可得,又因为函数的图象过点(0, ),所以,而,所以 ,

.

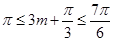
(2)由,可知,因为,且cos =-1,,由余弦曲线的性质的,,得,即.

考点:(1)余弦函数的性质和图象;(2)余弦函数性质的应用.

 

练习册系列答案
相关题目

违法和不良信息举报电话:027-86699610 举报邮箱:58377363@163.com

精英家教网