题目内容
已知数列{an}、{bn}满足:
,an+bn=1,
.
(1)求数列{bn}的通项公式;
(2)若
,求数列{cn}的前n项和Sn.
(1)求数列{bn}的通项公式;
(2)若
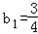
解:(1)∵
,
,an+bn=1,
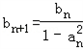
∴
=
,
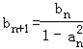
∴
,
∴
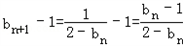
,
∴
,
∴
,
∴
.
(2)∵
,
∴
=
=
=
,
∴
+…+
=
.
∴
∴
∴
∴
∴
∴
(2)∵
∴
=
∴
+…+
=
练习册系列答案
相关题目
题目内容