题目内容
设{an}是公比为正数的等比数列,a1=2,a3=a2+4,
(Ⅰ)求{an}的通项公式;
(Ⅱ)设{bn}是首项为1,公差为2的等差数列,求数列{an+bn}的前n项和Sn。
(Ⅰ)求{an}的通项公式;
(Ⅱ)设{bn}是首项为1,公差为2的等差数列,求数列{an+bn}的前n项和Sn。
解:(Ⅰ)设等比数列{an}的公比为q,由a1=2,a3=a2+4知
,
即
,解得q=2或q=-1(舍去),
∴q=2,
∴{an}的通项公式an=2n(n∈N*);
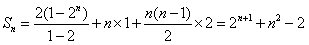
(Ⅱ)
。
即
∴q=2,
∴{an}的通项公式an=2n(n∈N*);
(Ⅱ)
练习册系列答案
相关题目