题目内容
如图,ABCD是正方形空地,边长为30m,电源在点P处,点P到边AD,AB距离分别为9m,3m.某广告公司计划在此空地上竖一块长方形液晶广告屏幕MNEF,MN:NE=16:9.线段MN必须过点P,端点M,N分别在边AD,AB上,设AN=x(m),液晶广告屏幕MNEF的面积为S(m2).(1)求S关于x的函数关系式及该函数的定义域;
(2)当x取何值时,液晶广告屏幕MNEF的面积S最小?
【答案】分析:(1)先用x表示出AM,再由MN2=AN2+AM2,用x表示出MN2.由此能够求出S关于x的函数关系式及该函数的定义域.
(2)求出S关于x的函数关系式的导数,利用导数的性质能够求出当当x取何值时,液晶广告屏幕MNEF的面积S最小.
解答:解:(1)由题意,知
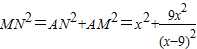
(10≤x≤30). …(2分)
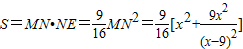
. …(4分)
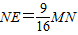
∵MN:NE=16:9,∴
.
∴
.…(6分)
定义域为[10,30].…(7分)
(2)
=
,…(9分)
令S'=0,得x=0(舍),
.…(10分)
当
时,S'<0,S关于x为减函数;
当
时,S'>0,S关于x为增函数;
∴当
时,S取得最小值. …(13分)
答:当AN长为
m时,液晶广告屏幕MNEF的面积S最小.…(14分)
点评:本题考查函数的应用,解题时要认真审题,注意挖掘题设条件中的隐含条件,合理地进行等价转化.
(2)求出S关于x的函数关系式的导数,利用导数的性质能够求出当当x取何值时,液晶广告屏幕MNEF的面积S最小.
解答:解:(1)由题意,知
∵MN:NE=16:9,∴
∴
定义域为[10,30].…(7分)
(2)
=
令S'=0,得x=0(舍),
当
当
∴当
答:当AN长为
点评:本题考查函数的应用,解题时要认真审题,注意挖掘题设条件中的隐含条件,合理地进行等价转化.
练习册系列答案
相关题目