题目内容
设Sn为数列{an}的前n项和,对任意的n∈N*,都有Sn=(m+1)-man(m为常数,且m>0)。
(1)求证:数列{an}是等比数列;
(2)设数列{an}的公比q=f(m),数列{bn}满足b1=2a1,bn=f(bn-1)(n≥2,n∈N*),求数列{bn}的通项公式。
(1)求证:数列{an}是等比数列;
(2)设数列{an}的公比q=f(m),数列{bn}满足b1=2a1,bn=f(bn-1)(n≥2,n∈N*),求数列{bn}的通项公式。
解:(1)证明:当n=1时,
,解得a1=1,
当n≥2时,
,即
,
∵m为常数,且m>0,∴
(n≥2),
∴数列{an}是首项为1,公比为
的等比数列;
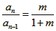
(2)由(1)得,q=f(m)=
,
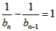
∵
,∴
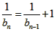
,即
(n≥2)
∴
是首项为
,公差为1的等差数列,
∴
,即
(n∈N*)。
当n≥2时,
∵m为常数,且m>0,∴
∴数列{an}是首项为1,公比为
(2)由(1)得,q=f(m)=
∵
∴
∴
练习册系列答案
相关题目