题目内容
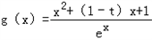
已知函数
.
(1)求函数f(x)的单调区间;
(2)设函数g(x)=xf(x)+tf'(x)+e﹣x(t∈R).是否存在实数a、b、c∈[0,1],使得g(a)+g(b)<g(c)?若存在,求实数t的取值范围;若不存在,请说明理由.
(1)求函数f(x)的单调区间;
(2)设函数g(x)=xf(x)+tf'(x)+e﹣x(t∈R).是否存在实数a、b、c∈[0,1],使得g(a)+g(b)<g(c)?若存在,求实数t的取值范围;若不存在,请说明理由.
解:(1)![]()
当x≥0时,
,函数在区间(0,+∞)上为减函数;
当x<0时,
,函数在区间(﹣∞,0)上为增函数
(2)假设存在a,b,c∈[0,1]使得g(a)+g(b)<g(c),2[g(x)]min<[g(x)]max
∵
,
∴![]()
①当t≥1时,g'(x)≤0,g(x)在[0,1]上单调递减,
∴2g(1)<g(0)即
得![]()
②当t≤0时,g'(x)≥0,g(x)在[0,1]上单调递增,
∴2g(0)<g(1)即
得t<3﹣2e<0,
③当0<t<1时,在x∈[0,t),g'(x)<0,g(x)在[0,t]上单调递减,
在x∈(t,1],g'(x)>0,g(x)在[t,1]上单调递增,
此时g(x)的最小值为g(t),最大值为max{g(0),g(1)},
∴2g(t)<max{g(0),g(1)},
即
(*)
由(1)知
在t∈[0,1]上单调递减,故
,
而
,
∴不等式(*)无解,
综上所述,存在
,使得命题成立.
练习册系列答案
相关题目