题目内容
在数列{an}中,a1=2,an+1=2an-n+1,n∈N*,
(1)证明:数列{an-n}是等比数列;
(2)求数列{an}的前n项和Sn。
(1)证明:数列{an-n}是等比数列;
(2)求数列{an}的前n项和Sn。
解:(1)
,
∴
,
又
,
∴数列{an-n}是等比数列;
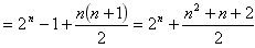
(2)数列{an-n}的首项为1,公比为2,
∴
,


。
∴
又
∴数列{an-n}是等比数列;
(2)数列{an-n}的首项为1,公比为2,
∴
练习册系列答案
相关题目