搜索
题目内容
已知椭圆中心在原点,一个焦点为F(-2
,0),且长轴长是短轴长的2倍,则该椭圆的标准方程是
.
试题答案
相关练习册答案
【答案】
分析:
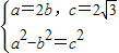
先根据题意a=2b,c=2
并且a
2
=b
2
+c
2
求出a,b,c的值,代入标准方程得到答案.
解答:
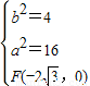
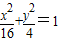
解:已知
∴
∴
为所求;
故答案为:
点评:
本题主要考查椭圆的标准方程.属基础题.
练习册系列答案
假期乐园寒假北京教育出版社系列答案
寒假作业与生活陕西师范大学出版总社系列答案
假期总动员学期系统复习系列答案
寒假作业河北美术出版社系列答案
寒假作业本希望出版社系列答案
假期总动员寒假必刷题系列答案
全程智能1卷通系列答案
乐享课堂系列答案
假期作业本北京教育出版社系列答案
新课程寒假作业本山西教育出版社系列答案
相关题目
如图,已知椭圆中心在原点,F是焦点,A为顶点,准线l交x轴于点B,点P,Q在椭圆上,且PD⊥l于D,QF⊥AO,则①
|PF|
|PD|
;②
|QF|
|BF|
;③
|AO|
|BO|
;④
|AF|
|AB|
;⑤
|FO|
|AO|
,其中比值为椭圆的离心率的有( )
A、1个
B、3个
C、4个
D、5个
已知椭圆中心在原点,焦点在x轴上,右焦点到短轴端点的距离为2,到右顶点的距离为1,求椭圆的方程.
已知椭圆中心在原点,焦点在x轴上,离心率
e=
2
2
,点F
1
,F
2
分别为椭圆的左、右焦点,过右焦点F
2
且垂直于长轴的弦长为
2
(1)求椭圆的标准方程;
(2)过椭圆的左焦点F
1
作直线l,交椭圆于P,Q两点,若
F
2
P
•
F
2
Q
=2
,求直线l的倾斜角.
(1)已知椭圆中心在原点,焦点在x轴,长轴长为短轴长的3倍,且过点P(3,2),求此椭圆的方程;
(2)求与双曲线
x
2
5
-
y
2
3
=1
有公共渐近线,且焦距为8的双曲线的方程.
如图,已知椭圆中心在原点,F是焦点,A为顶点,准线l交x轴于点B,点P,Q在椭圆上,且PD⊥l于D,QF⊥AO,则椭圆的离心率是①
|PF|
|PD|
;②
|QF|
|BF|
;③
|AO|
|BO|
;④
|AF|
|AB|
;⑤
|FO|
|AO|
,其中正确的是
①②③④⑤
①②③④⑤
.
关 闭
试题分类
高中
数学
英语
物理
化学
生物
地理
初中
数学
英语
物理
化学
生物
地理
小学
数学
英语
其他
阅读理解答案
已回答习题
未回答习题
题目汇总
试卷汇总
练习册解析答案