题目内容
在数列{an}中,已知an≥1,a1=1且an+1-an=
(n∈N*)。
(1)求数列{an}的通项公式;
(2)令cn=(2an-1)2,Sn=
,若Sn<k恒成立,求k的取值范围。
(1)求数列{an}的通项公式;
(2)令cn=(2an-1)2,Sn=
解:(1)因为
所以
即
令
∴
故
是以
为首项,2为公差的等差数列。
所以
因为
故
。
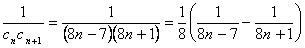
(2)因为
所以
所以

因为
恒成立,故
。
所以
即
令
∴
故
所以
因为
故
(2)因为
所以
所以
因为
练习册系列答案
相关题目