题目内容
已知向量
都是单位向量,且
,则
的值为( )
A.-1 B.
C.
D.1
【答案】
D.
【解析】
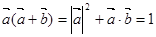
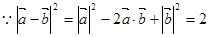
试题分析:
,而
都是单位向量,
,所以
,故选D.
考点:平面向量的数量积运算.
练习册系列答案
相关题目
题目内容
已知向量
都是单位向量,且
,则
的值为( )
A.-1 B.
C.
D.1
D.
【解析】
试题分析:
,而
都是单位向量,
,所以
,故选D.
考点:平面向量的数量积运算.