搜索
题目内容
在△ABC中,内角A,B,C的对边分别为a,b,c,已知B=C,2b=
a,
(Ⅰ)求cosA的值;
(Ⅱ)cos(2A+
)的值.
试题答案
相关练习册答案
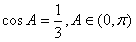
解:(Ⅰ)由
,可得
,
所以
。
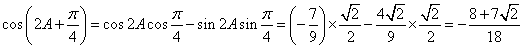
(Ⅱ)因为
,所以
,
,
故
,
所以
。
练习册系列答案
培优新航标系列答案
培优大视野系列答案
仁爱地理同步练习册系列答案
牛津英语活动练习手册系列答案
牛津英语基础训练系列答案
牛津英语随堂讲与练系列答案
牛津英语一课一练系列答案
中考真题及模拟试题汇编系列答案
中考复习指南针江苏系列答案
魔力导学开心练系列答案
相关题目
(2012•天津)在△ABC中,内角A,B,C所对的边分别是a,b,c,已知a=2,c=
2
,cosA=-
2
4
.
(1)求sinC和b的值;
(2)求cos(2A+
π
3
)的值.
在△ABC中,内角A、B、C所对边长分别为a、b、c,已知a
2
-c
2
=b,且sinAcosC=3cosAsinC,则b=
2
2
.
在△ABC中,内角A,B,C的对边分别为a,b,c,且a,b是方程x
2
-2
3
x+2=0的两根,2cos(A+B)=1,则△ABC的面积为( )
A.
1
2
B.
2
2
C.
3
2
D.
3
在△ABC中,内角A,B,C所对的边分别是a,b,c.已知A=45°,a=6,b=
3
2
,则B的大小为( )
在△ABC中,内角A,B,C所对的边分别是a,b,c,已知B=60°,不等式x
2
-4x+1<0的解集为{x|a<x<c},则b=
13
13
.
关 闭
试题分类
高中
数学
英语
物理
化学
生物
地理
初中
数学
英语
物理
化学
生物
地理
小学
数学
英语
其他
阅读理解答案
已回答习题
未回答习题
题目汇总
试卷汇总
练习册解析答案