题目内容
设k∈R,k≠0,函数f(x)=
,F(x)=f(x)-kx.
(I)试讨论函数F(x)的单调性;
(II)设0<k<
,求证:F(x)=0有三个不同的实根.
解:(Ⅰ)∵f(x)=
,F(x)=f(x)-kx.
∴F(x)=
∴F′(x)=
∴当x≥2,方程
=0在k<0或k≥1时,无解,在0<k<1时为x=
+1,
当x<2时,方程
=0在k≥0时,无解,在k<0时为x=2-
.
∴当0<k<1时,函数F(x)在(-∞,2)上递减,在(2,
+1)上递增,在(
+1,+∞)上递减;
当k≥1时,函数F(x)在(-∞,+∞)上是减函数;
当k<0时,函数F(x)在(-∞,2-
)上递增,在(2-
,2)上递减,在(2,+∞)上递增. …
证明(Ⅱ)∵0<k<
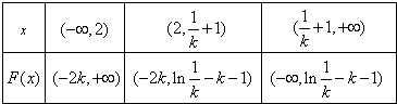
,由(Ⅰ)可知,F(x)的取值随着x的变化如下:

∴当x=2时,F(x)极小值为-2k,
当x=
+1,F(x)极大值为ln
-k-1,
∵0<k<
,
∴ln
-k-1>
-
-1=
-
>0,
∴F(x)极小值-2k<0,F(x)极大值为ln
-k-1>0,
因此,0<k<
时,方程F(x)=0一定有三个不同的实根.
分析:(I)已知中函数f(x)的解析式,可求出F(x)=f(x)-kx的解析式,进而求出其导函数的解析式,分别讨论当x≥2,方程
=0的解,也当x<2时,方程
=0的解,进而可对k进行分类讨论得到函数F(x)的单调性;
(II)由(I)中结论,可得当0<k<
时,函数的单调性,及对应的极值点,分别判断极大值与极小值的符号,进而可判断出F(x)=0有三个不同的实根.
点评:本题考查的知识点是函数单调性的判断与证明,分段函数的解析式求法,根的存在性及根的个数判断,其中利用导数法,判断出函数F(x)的单调性是解答本题的关键.
∴F(x)=
∴F′(x)=
∴当x≥2,方程
当x<2时,方程
∴当0<k<1时,函数F(x)在(-∞,2)上递减,在(2,
当k≥1时,函数F(x)在(-∞,+∞)上是减函数;
当k<0时,函数F(x)在(-∞,2-
证明(Ⅱ)∵0<k<
∴当x=2时,F(x)极小值为-2k,
当x=
∵0<k<
∴ln
∴F(x)极小值-2k<0,F(x)极大值为ln
因此,0<k<
分析:(I)已知中函数f(x)的解析式,可求出F(x)=f(x)-kx的解析式,进而求出其导函数的解析式,分别讨论当x≥2,方程
(II)由(I)中结论,可得当0<k<
点评:本题考查的知识点是函数单调性的判断与证明,分段函数的解析式求法,根的存在性及根的个数判断,其中利用导数法,判断出函数F(x)的单调性是解答本题的关键.
练习册系列答案
相关题目