题目内容
由曲线y=x2-2x与直线x+y=0所围成的封闭图形的面积为( )A.
B.
C.
D.
【答案】分析:先确定交点坐标,得到积分区间,确定被积函数,求出原函数,即可求得结论.
解答:解:由题意,曲线y=x2-2x与直线x+y=0的交点坐标为(0,0),(1,-1)
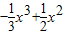
∴曲线y=x2-2x与直线x+y=0所围成的封闭图形的面积为
=(
)
=
故选D.
点评:本题考查定积分知识的运用,确定交点坐标,得到积分区间,确定被积函数,是解题的关键.
解答:解:由题意,曲线y=x2-2x与直线x+y=0的交点坐标为(0,0),(1,-1)
∴曲线y=x2-2x与直线x+y=0所围成的封闭图形的面积为
故选D.
点评:本题考查定积分知识的运用,确定交点坐标,得到积分区间,确定被积函数,是解题的关键.
练习册系列答案
相关题目