题目内容
椭圆
的离心率
;该命题类比到双曲线中,一个真命题是:
双曲线
的离心率
.
【答案】
.
【解析】
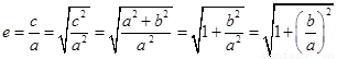
试题分析:双曲线的离心率
.
考点:1.双曲线的离心率;2.类比推理
练习册系列答案
相关题目
题目内容
椭圆
的离心率
;该命题类比到双曲线中,一个真命题是:
双曲线
的离心率
.
.
【解析】
试题分析:双曲线的离心率
.
考点:1.双曲线的离心率;2.类比推理