题目内容
若f(x)是一次函数,且f[f(x)]=4x-1,则f(x)= .
【答案】分析:利用待定系数法求解该函数的解析式是解决本题的关键.结合着复合函数表达式的求解,根据多项式相等即对应各项的系数相等得出关于一次项系数和常数项的方程组,通过方程思想求解出该函数的解析式.
解答:解:设f(x)=kx+b(k≠0),
则f[f(x)]=f(kx+b)=k(kx+b)+b=k2x+kb+b=4x-1,
根据多项式相等得出
,
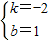
解得
或
.因此所求的函数解析式为:f(x)=2x-
或-2x+1.
故答案为:f(x)=2x-
或-2x+1.
点评:本题考查函数解析式的求解,考查确定函数解析式的待定系数法.学生只要设出一次函数的解析式的形式,寻找关于系数的方程或方程组,通过求解方程是不难求出该函数的解析式的.属于函数中的基本题型.
解答:解:设f(x)=kx+b(k≠0),
则f[f(x)]=f(kx+b)=k(kx+b)+b=k2x+kb+b=4x-1,
根据多项式相等得出
解得
故答案为:f(x)=2x-
点评:本题考查函数解析式的求解,考查确定函数解析式的待定系数法.学生只要设出一次函数的解析式的形式,寻找关于系数的方程或方程组,通过求解方程是不难求出该函数的解析式的.属于函数中的基本题型.
练习册系列答案
相关题目