题目内容
等差数列{an}中,a1=3,前n项和为Sn,等比数列{bn}各项均为正数,b1=1,且b2+S2=12,{bn}的公比q=
。
(1)求an与bn;
(2)证明:
。
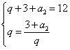
解:(1)由已知得
解得
或
(舍去),
∴
;
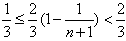
(2)∵
∴
∴
∵
∴
∴
故
。
解得
∴
(2)∵
∴
∴
∵
∴
∴
故
练习册系列答案
相关题目
题目内容
等差数列{an}中,a1=3,前n项和为Sn,等比数列{bn}各项均为正数,b1=1,且b2+S2=12,{bn}的公比q=
。
(1)求an与bn;
(2)证明:
。