题目内容
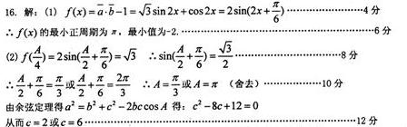
已知,其中向量(1)求的最小正周期和最小值;(2)在中,角A、B、C的对边分别为a、b、c,若求边长c的值。
解析
已知,其中向量,,.在中,角A、B、C的对边分别为,,.
(1)如果三边,,依次成等比数列,试求角的取值范围及此时函数的值域;
(2) 在中,若, ,求的面积.
已知,其中向量
(1)求的最小正周期和最小值;
(2)在中,角A、B、C的对边分别为a、b、c,若求边长c的值。
(2)在中,角A、B、C的对边分别为a、b、c,若求边长
c的值。
(本小题满分12分)
已知,其中向量,(R).
(1) 求的最小正周期和最小值;
(2) 在△ ABC中,角A、B、C的对边分别为、、,若,a=2,,求边长的值.