题目内容

已知双曲线的两条渐近线均与相切,则该双曲线离心率等于(        )

A.            B.   C.   D.

 

【答案】

A

【解析】

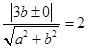
试题分析:要求离心率,只要求出之间的一个关系,注意双曲线的渐近线与标准方程之间的联系,双曲线的渐近线方程为,即,这两条直线又是圆的切线,利用圆的切线的性质,可求出的关系,圆的标准方程为,圆心为,半径为2,故,∴.即

考点:双曲线的渐近线,离心率,圆的切线.

 

练习册系列答案
相关题目

违法和不良信息举报电话:027-86699610 举报邮箱:58377363@163.com

精英家教网