题目内容
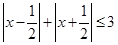
在实数范围内,不等式
的解集为 .
【答案】
![]()
【解析】
试题分析:不等式
,由绝对值的几何意义知(如下图),当
时,不等式
成立.
![]()
考点:含绝对值不等式.
练习册系列答案
相关题目
题目内容
在实数范围内,不等式
的解集为 .
![]()
【解析】
试题分析:不等式
,由绝对值的几何意义知(如下图),当
时,不等式
成立.
![]()
考点:含绝对值不等式.