题目内容
如图,在四棱锥S-ABCD中,底面ABCD是正方形,其他四个侧面都是等边三角形,AC与BD的交点为O,E为侧棱SC上一点.(Ⅰ)当E为侧棱SC的中点时,求证:SA∥平面BDE;
(Ⅱ)求证:平面BDE⊥平面SAC;
(Ⅲ)(理科)当二面角E-BD-C的大小为45°时,试判断点E在SC上的位置,并说明理由.
【答案】分析:(I)做出辅助线,连接OE,由条件可得SA∥OE.根据因为SA?平面BDE,OE?平面BDE,得到SA∥平面BDE.
(II)建立坐标系,写出要用的点的坐标,写出要用的向量的坐标,设出平面的法向量,根据法向量与平面上的向量垂直,写出一个法向量,根据两个法向量垂直证明两个平面垂直.
(III)本题是一个一个二面角为条件,写出点的位置,做法同求两个平面的夹角一样,设出求出法向量,根据两个向量的夹角得到点要满足的条件,求出点的位置.
解答:解:(Ⅰ)证明:连接OE,由条件可得SA∥OE.
因为SA?平面BDE,OE?平面BDE,所以SA∥平面BDE.
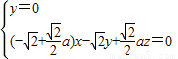
(Ⅱ)证明:由
(Ⅰ)知SO⊥面ABCD,AC⊥BD.建立如图所示的空间直角坐标系.
设四棱锥S-ABCD的底面边长为2,
则O(0,0,0),S(0,0,
),A(
,0,0),
B(0,
,0),C(-
,0,0),D(0,-
,0).
所以
=(-2
0,0),
=(0,
,0).
设CE=a(0<a<2),由已知可求得∠ECO=45°.
所以E(-
+
a,0,
a),
=(-
+
,-
,
).
设平面BDE法向量为n=(x,y,z),则
即
令z=1,得n=(
,0,1).易知
=(0,
,0)是平面SAC的法向量.
因为n•
=(
,0,1)•(0,-
,0)=0,所以n⊥
,所以平面BDE⊥平面SAC.(8分)
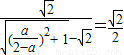
(Ⅲ)设CE=a(0<a<2),由(Ⅱ)可知,平面BDE法向量为n=(
,0,1).因为SO⊥底面ABCD,
所以
=(0,0,
)是平面SAC的一个法向量.由已知二面角E-BD-C的大小为45°.
所以|cos(
,n)|=cos45°=
,所以
,解得a=1.
所以点E是SC的中点.
点评:本题考查用空间向量解决线线角和面面角,本题解题的关键是建立坐标系,把立体几何的理论推导变化成数字的运算问题,这样可以降低题目的难度,同学们只要细心都可以做对.
(II)建立坐标系,写出要用的点的坐标,写出要用的向量的坐标,设出平面的法向量,根据法向量与平面上的向量垂直,写出一个法向量,根据两个法向量垂直证明两个平面垂直.
(III)本题是一个一个二面角为条件,写出点的位置,做法同求两个平面的夹角一样,设出求出法向量,根据两个向量的夹角得到点要满足的条件,求出点的位置.
解答:解:(Ⅰ)证明:连接OE,由条件可得SA∥OE.
因为SA?平面BDE,OE?平面BDE,所以SA∥平面BDE.
(Ⅱ)证明:由
设四棱锥S-ABCD的底面边长为2,
则O(0,0,0),S(0,0,
B(0,
所以
设CE=a(0<a<2),由已知可求得∠ECO=45°.
所以E(-
设平面BDE法向量为n=(x,y,z),则
令z=1,得n=(
因为n•
(Ⅲ)设CE=a(0<a<2),由(Ⅱ)可知,平面BDE法向量为n=(
所以
所以|cos(
所以点E是SC的中点.
点评:本题考查用空间向量解决线线角和面面角,本题解题的关键是建立坐标系,把立体几何的理论推导变化成数字的运算问题,这样可以降低题目的难度,同学们只要细心都可以做对.
练习册系列答案
相关题目