题目内容

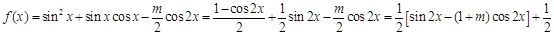
已知函数

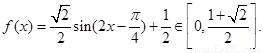
(1)当时,求在区间上的取值范围;

(2)当=2时,=,求的值。

 

 

【答案】

(1)(2)-2

【解析】

试题分析:(1)先化简三角函数式,然后函数值;(2)化简可得

 =2,求出sin2和cos2的值,再根据=,列出等式解之即可.

试题解析:解:(1)当

又由

从而

(2)

,所以,得

考点:1.二倍角公式和三角函数的性质;2.方程思想的应用.

 

练习册系列答案
相关题目

违法和不良信息举报电话:027-86699610 举报邮箱:58377363@163.com

精英家教网