题目内容
在△ABC中,A=
,cosB=
。
(Ⅰ)求cosC;
(Ⅱ)设BC=
,求AB。
(Ⅰ)求cosC;
(Ⅱ)设BC=
解:(Ⅰ)∵
,
∴
,
∵C=
-(A-B)=
-(
+B);
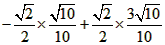
∴
,
=
=
;
(Ⅱ)∵
,
∴
,
由已知条件BC=
,sinA=sin
=
,
根据正弦定理,得
,
∴AB=
。
∴
∵C=
∴
=
(Ⅱ)∵
∴
由已知条件BC=
根据正弦定理,得
∴AB=
练习册系列答案
相关题目
题目内容