题目内容
已知双曲线
和椭圆
有相同的焦点,且双曲线的离心率是椭圆离心率的
倍,求双曲线的方程。
解:椭圆中,
,离心率
, 4分
双曲线和椭圆有相同的焦点,且双曲线的离心率是椭圆离心率的
倍,
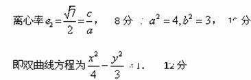
双曲线中,
,
![]()
练习册系列答案
相关题目
题目内容
已知双曲线
和椭圆
有相同的焦点,且双曲线的离心率是椭圆离心率的
倍,求双曲线的方程。
解:椭圆中,
,离心率
, 4分
双曲线和椭圆有相同的焦点,且双曲线的离心率是椭圆离心率的
倍,
双曲线中,
,
![]()