题目内容
在数列{an}中,a1=1,an+1=2an+n,n∈N*,
(1)记bn=an+n+1,求证:数列{bn}是等比数列,并写出数列{an}的通项公式;
(2)在(1)的条件下,记
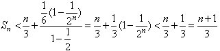
,数列{cn}的前n项和为Sn。求证:Sn<
。
(1)记bn=an+n+1,求证:数列{bn}是等比数列,并写出数列{an}的通项公式;
(2)在(1)的条件下,记
解:(1)
,
即
,
∴{bn}是等比数列,
∴
。
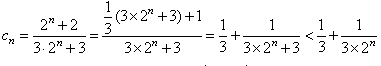
(2)由(1)可知:
,
∴
,
故
。
即
∴{bn}是等比数列,
∴
(2)由(1)可知:
∴
故
练习册系列答案
相关题目