题目内容

 已知椭圆C:=1(a>b>0)的离心率为,短轴一个端点到右焦点的距离为 .

(Ⅰ)求椭圆C的方程;

(Ⅱ)设直线l与椭圆C交于A、B两点,坐标原点O到直线l的距离为,求△AOB面积的最大值.

解:(Ⅰ)设椭圆的半焦距为,依题意,。。。。。。。。。。。。。。3分

所求椭圆方程为.。。。。。。。。。。。。。4分

(Ⅱ)设.(1)当轴时,.。。。。。。。。。5分

(2)当轴不垂直时,设直线的方程为

由已知,得.。。。。。。。。。6分

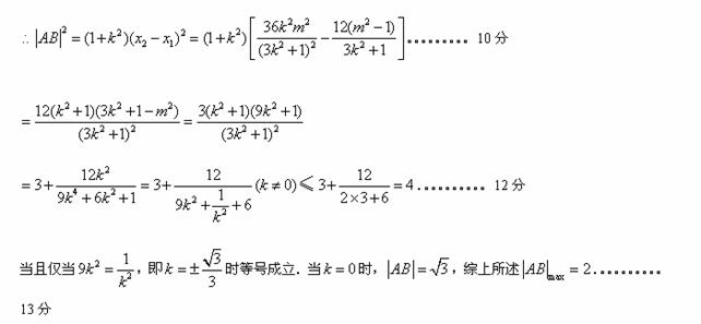
代入椭圆方程,整理得

.。。。。。。。。。8分

最大时,面积取最大值.。。。。。。。。。14分

练习册系列答案
相关题目

违法和不良信息举报电话:027-86699610 举报邮箱:58377363@163.com

精英家教网