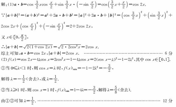
题目内容
已知向量
(1)求a·b及|a+b|;
(2)若的最小值是,求实数的值。
已知圆,坐标原点为O.圆C上任意一点A在x轴上的射影为点B,已知向量.
(1)求动点Q的轨迹E的方程;
(2)当时,设动点Q关于x轴的对称点为点P,直线PD交轨迹E于点F(异于P点),证明:直线QF与x轴交于定点,并求定点坐标.
(本题满分12分) 已知向量
(1)求的值; (2)若的值。
(本小题满分12分)已知向量.(1)求;(2)若与平行,求的值;(3)若与的夹角是钝角,求实数的取值范围.
(1)求,并求在上的投影
(2)若,求的值,并确定此时它们是同向还是反向?
(1)求的坐标表示;
(2)求的值