题目内容
已知f(x)=(Ⅰ)求实数a的值组成的集合A;
(Ⅱ)设关于x的方程f(x)=
【答案】分析:(Ⅰ)函数单调递增导数大于等于零列出不等式解之
(Ⅱ)根据一元二次方程根与系数的关系写出不等式先看成关于a的不等式恒成立再看成关于t的一次不等式恒成立,让两端点大等于零
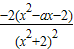
解答:解:(Ⅰ)f'(x)=
=
,
∵f(x)在[-1,1]上是增函数,
∴f'(x)≥0对x∈[-1,1]恒成立,
即x2-ax-2≤0对x∈[-1,1]恒成立.①
设φ(x)=x2-ax-2,
方法一:φ
①?
?-1≤a≤1,
∵对x∈[-1,1],f(x)是连续函数,且只有当a=1时,f'(-1)=0以及当a=-1时,f'(1)=0
∴A={a|-1≤a≤1}.方法二:
①?
或
?0≤a≤1或-1≤a≤0
?-1≤a≤1.
∵对x∈[-1,1],f(x)是连续函数,且只有当a=1时,f'(-1)=0以及当a=-1时,f'(1)=0
∴A={a|-1≤a≤1}.
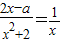
(Ⅱ)由
,得x2-ax-2=0,∵△=a2+8>0
∴x1,x2是方程x2-ax-2=0的两非零实根,x1+x2=a,x1x2=-2,
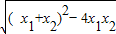
从而|x1-x2|=
=
.
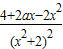
∵-1≤a≤1,∴|x1-x2|=
≤3.
要使不等式m2+tm+1≥|x1-x2|对任意a∈A及t∈[-1,1]恒成立,
当且仅当m2+tm+1≥3对任意t∈[-1,1]恒成立,
即m2+tm-2≥0对任意t∈[-1,1]恒成立.②
设g(t)=m2+tm-2=mt+(m2-2),
方法一:
②?g(-1)=m2-m-2≥0,g(1)=m2+m-2≥0,
?m≥2或m≤-2.
所以,存在实数m,使不等式m2+tm+1≥|x1-x2|对任意a∈A及t∈[-1,1]恒成立,其取值范围是{m|m≥2,或m≤-2}.
方法二:
当m=0时,②显然不成立;
当m≠0时,
②?m>0,g(-1)=m2-m-2≥0或m<0,g(1)=m2+m-2≥0
?m≥2或m≤-2.
所以,存在实数m,使不等式m2+tm+1≥|x1-x2|对任意a∈A及t∈[-1,1]恒成立,其取值范围是{m|m≥2,或m≤-2}.
点评:本小题主要考查函数的单调性,导数的应用和不等式等有关知识,考查数形结合及分类讨论思想和灵活运用数学知识分析问题和解决问题的能力.
(Ⅱ)根据一元二次方程根与系数的关系写出不等式先看成关于a的不等式恒成立再看成关于t的一次不等式恒成立,让两端点大等于零
解答:解:(Ⅰ)f'(x)=
∵f(x)在[-1,1]上是增函数,
∴f'(x)≥0对x∈[-1,1]恒成立,
即x2-ax-2≤0对x∈[-1,1]恒成立.①
设φ(x)=x2-ax-2,
方法一:φ
①?
∵对x∈[-1,1],f(x)是连续函数,且只有当a=1时,f'(-1)=0以及当a=-1时,f'(1)=0
∴A={a|-1≤a≤1}.方法二:
①?
?0≤a≤1或-1≤a≤0
?-1≤a≤1.
∵对x∈[-1,1],f(x)是连续函数,且只有当a=1时,f'(-1)=0以及当a=-1时,f'(1)=0
∴A={a|-1≤a≤1}.
(Ⅱ)由
∴x1,x2是方程x2-ax-2=0的两非零实根,x1+x2=a,x1x2=-2,
从而|x1-x2|=
∵-1≤a≤1,∴|x1-x2|=
要使不等式m2+tm+1≥|x1-x2|对任意a∈A及t∈[-1,1]恒成立,
当且仅当m2+tm+1≥3对任意t∈[-1,1]恒成立,
即m2+tm-2≥0对任意t∈[-1,1]恒成立.②
设g(t)=m2+tm-2=mt+(m2-2),
方法一:
②?g(-1)=m2-m-2≥0,g(1)=m2+m-2≥0,
?m≥2或m≤-2.
所以,存在实数m,使不等式m2+tm+1≥|x1-x2|对任意a∈A及t∈[-1,1]恒成立,其取值范围是{m|m≥2,或m≤-2}.
方法二:
当m=0时,②显然不成立;
当m≠0时,
②?m>0,g(-1)=m2-m-2≥0或m<0,g(1)=m2+m-2≥0
?m≥2或m≤-2.
所以,存在实数m,使不等式m2+tm+1≥|x1-x2|对任意a∈A及t∈[-1,1]恒成立,其取值范围是{m|m≥2,或m≤-2}.
点评:本小题主要考查函数的单调性,导数的应用和不等式等有关知识,考查数形结合及分类讨论思想和灵活运用数学知识分析问题和解决问题的能力.
练习册系列答案
相关题目
已知f (x)=sin (x+
),g (x)=cos (x-
),则下列命题中正确的是( )
| π |
| 2 |
| π |
| 2 |
| A、函数y=f(x)•g(x)的最小正周期为2π | ||||
| B、函数y=f(x)•g(x)是偶函数 | ||||
| C、函数y=f(x)+g(x)的最小值为-1 | ||||
D、函数y=f(x)+g(x)的一个单调增区间是[-
|