题目内容
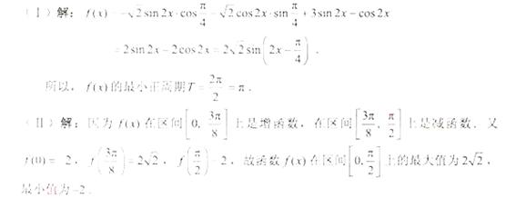
已知函数
.
(Ⅰ) 求f(x)的最小正周期;
(Ⅱ) 求f(x)在区间
上的最大值和最小值.
练习册系列答案
相关题目
| π |
| 2 |
A、f(x)=2sin(
| ||||
B、f(x)=2sin(
| ||||
C、f(x)=2sin(2x-
| ||||
D、f(x)=2sin(2x+
|
题目内容
已知函数
.
(Ⅰ) 求f(x)的最小正周期;
(Ⅱ) 求f(x)在区间
上的最大值和最小值.
| π |
| 2 |
A、f(x)=2sin(
| ||||
B、f(x)=2sin(
| ||||
C、f(x)=2sin(2x-
| ||||
D、f(x)=2sin(2x+
|