题目内容
如图,已知三棱柱ABC-A1B1C1的各条棱长都相等,且CC1⊥底面ABC,M是侧棱CC1的中点,则异面直线AB1和BM所成的角的大小是( )A.
B.
C.
D.
【答案】分析:由题意设棱长为a,补正三棱柱ABC-A2B2C2,构造直角三角形A2BM,解直角三角形求出BM,利用勾股定理求出A2M,从而求解.
解答:解:设棱长为a,补正三棱柱ABC-A2B2C2(如图).
平移AB1至A2B,连接A2M,∠MBA2即为AB1与BM所成的角,
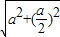
在△A2BM中,A2B=
a,BM=
=
a,
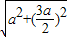
A2M=
=
a,
∴A2B2+BM2=A2M2,
∴∠MBA2=
.
故选D
点评:此题主要考查了异面直线及其所成的角和勾股定理的应用,计算比较复杂,要仔细的做.
解答:解:设棱长为a,补正三棱柱ABC-A2B2C2(如图).
平移AB1至A2B,连接A2M,∠MBA2即为AB1与BM所成的角,
在△A2BM中,A2B=
A2M=
∴A2B2+BM2=A2M2,
∴∠MBA2=
故选D
点评:此题主要考查了异面直线及其所成的角和勾股定理的应用,计算比较复杂,要仔细的做.
练习册系列答案
相关题目