题目内容
(12分)设
,求函数
的值域。
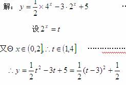
答案
![]()
,
时,
…………………………………………6分
又
时,
…………………………………………………………8分
………………………………………………………12分
练习册系列答案
相关题目
题目内容
(12分)设
,求函数
的值域。
答案
![]()
,
时,
…………………………………………6分
又
时,
…………………………………………………………8分
………………………………………………………12分