题目内容
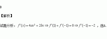
若函数f(x)=ax4+bx2+c满足f′(1)=2,则f′(-1)等于( ).
A.-1 B.-2 C.2 D.0
已知向量与的夹角为45°,,若与的夹角为锐角,则实数的取值范围是__________.
若双曲线(,)的一条渐近线被圆截得的弦长为,则双曲线的离心率为( )
A. B. C. D.
已知函数f(x)=2ln x-x,则曲线y=f(x)在x=1处的切线方程是 .
由直线x=,x=,y=0与曲线y=cos x所围成的封闭图形的面积为( )
A. B.1 C. D.
中国古建筑中的窗饰是艺术和技术的统一体,给人于美的享受.如图(1)为一花窗;图(2)所示是一扇窗中的一格,呈长方形,长30 cm,宽26 cm,其内部窗芯(不含长方形边框)用一种条形木料做成,由两个菱形和六根支条构成,整个窗芯关于长方形边框的两条对称轴成轴对称.设菱形的两条对角线长分别为x cm和y cm,窗芯所需条形木料的长度之和为L.
(1)试用x,y表示L;
(2)如果要求六根支条的长度均不小于2 cm,每个菱形的面积为130 cm2,那么做这样一个窗芯至少需要多长的条形木料(不计榫卯及其它损耗)?
已知椭圆的左焦点和右焦点,上顶点为,的中垂线交椭圆于点,若左焦点在线段上,则椭圆离心率为 .
已知函数,若方程有两个不同的实根,则实数k的取值范围是 .
(1)已知:,,证明:;
(2)已知,证明:,并类比上面的结论,写出推广后的一般性结论(不需证明).