题目内容
已知Sn为等差数列{an}的前n项和,a4=9,a9=-6,Sn=63,求n.
【答案】分析:设等差数列{an}的首项为a1,公差为d,由题意列方程组求出首项和公差,则前n项和公式可求,代入Sn=63求解n的值.
解答:解:设等差数列{an}的首项为a1,公差为d,
则
,解得a1=18,d=-3.
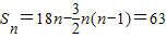
∴
,解得:n1=6,n2=7.
点评:本题考查了等差数列的通项公式和前n项和公式,考查了学生的计算能力,是基础题.
解答:解:设等差数列{an}的首项为a1,公差为d,
则
∴
点评:本题考查了等差数列的通项公式和前n项和公式,考查了学生的计算能力,是基础题.
练习册系列答案
相关题目