题目内容
已知函数f(x)=x2+ax+b(a,b∈R)的值域为[0,+∞),若关于x的不等式f(x)<c的解集为(m,m+6),则实数c的值为 .
【答案】分析:根据函数的值域求出a与b的关系,然后根据不等式的解集可得f(x)=c的两个根为m,m+6,最后利用根与系数的关系建立等式,解之即可.
解答:解:∵函数f(x)=x2+ax+b(a,b∈R)的值域为[0,+∞),
∴f(x)=x2+ax+b=0只有一个根,即△=a2-4b=0则b=
不等式f(x)<c的解集为(m,m+6),
即为x2+ax+
<c解集为(m,m+6),
则x2+ax+
-c=0的两个根为m,m+6
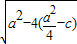
∴|m+6-m|=
=6
解得c=9
故答案为:9
点评:本题主要考查了一元二次不等式的应用,以及根与系数的关系,同时考查了分析求解的能力和计算能力,属于中档题.
解答:解:∵函数f(x)=x2+ax+b(a,b∈R)的值域为[0,+∞),
∴f(x)=x2+ax+b=0只有一个根,即△=a2-4b=0则b=
不等式f(x)<c的解集为(m,m+6),
即为x2+ax+
则x2+ax+
∴|m+6-m|=
解得c=9
故答案为:9
点评:本题主要考查了一元二次不等式的应用,以及根与系数的关系,同时考查了分析求解的能力和计算能力,属于中档题.
练习册系列答案
相关题目
| π |
| 2 |
A、f(x)=2sin(πx+
| ||
B、f(x)=2sin(2πx+
| ||
C、f(x)=2sin(πx+
| ||
D、f(x)=2sin(2πx+
|